Consideremos um conjunto de pontos (designados nós de Interpolação) x0 , ... , xn , a que estão associados os valores de uma função: f0 , ... , fn, respectivamente. Pretendemos encontrar um polinómio p ( x ) :
| p ( xi ) = fi |

Escrevendo p( x ) = a0 + a1 x + ... + am xm, obtemos o sistema
| a0 + a1 x0 + ... + am x0m = f0 |
| ... |
| a0 + a1 xn + ... + am xnm = fn |

em que a matriz do sistema é conhecida como Matriz de Vandermonde.
A existência e unicidade do polinómio interpolador é equivalente a
assegurar que o sistema é possível e determinado para quaisquer x0
, ... , xn distintos.
Teorema:
Dados n+1 nós, x0 , ... ,
xn e os respectivos valores f0 , ... ,
fn, existe um e um só, polinómio interpolador de grau
< n, para esses valores.
demonstração:
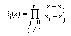
Agora, basta considerar a Fórmula Interpoladora de Lagrange:
|
|
Trata-se de uma fórmula alternativa para o cálculo do polinómio interpolador, baseada numa construção sucessiva a partir dos polinómios de graus inferiores.
Começamos por considerar que conhecemos a expressão do polinómio
pn-1(x) de grau < n-1 que interpola os nós
x0 , ... , xn-1.
O polinómio
pn(x) de grau < n, que interpola os nós
x0 , ... , xn-1, xn, pode-se escrever na
forma:

Portanto, podemos agora escrever
e podemos obter sucessivamente, a partir do polinómio interpolador de grau zero p0(x) = f0 :
| p1(x) = f0 + f [ x0 , x1 ] ( x - x0) |
| p2(x) = f0 + f [ x0 , x1 ] ( x - x0) + f [ x0 , x1, x2 ] ( x - x0) ( x - x1) |
| ... etc ... |
![]() |
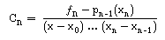
e uma diferença dividida de ordem k, pode ser obtida a partir das anteriores :
(a regra subjacente é que no denominador vai ficar a diferença entre os nós, que não são comuns às diferenças divididas do numerador).
Observa-se que qualquer permutação da ordem dos nós não altera o
resultado.
Ou seja, por exemplo, f [ x1, x2 ,
x3 ] = f [ x2, x3 , x1 ]
Nota: Podemos considerar os valores fi como diferenças divididas de ordem zero, e reparamos que isso é coerente com a definição da diferença de 1a ordem a partir delas.
Número de operações:
Se resolvermos o sistema linear, como vimos
no Capítulo II, é necessário efectuar um total de ~2 n3/3 operações.
Usando a Fórmula de Lagrange ou a Fórmula de Newton reduzimos para ~3
n2/2. A F. Lagrange usa mais multiplicações+divisões que a F.
Newton, que, por sua vez, usa mais somas+subtracções.
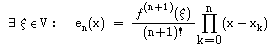
O erro de interpolação, num certo ponto x, é :
|
|
Esta fórmula é útil do ponto vista teórico, como também veremos mais tarde,
no caso da integração.
Vamos, no entanto, aproveitar uma relação entre as
diferenças divididas e as derivadas, para estabelecer uma outra fórmula.
Teorema :
Consideremos n+1 nós de interpolação
x0 , ... , xn distintos entre si incluídos no
intervalo [x0, xn] onde a função f é de
classe Cn.
Então
![]() |
Este teorema pode ser aplicado à fórmula do erro anterior, e obtemos o seguinte corolário:
Corolário :
Seja V um intervalo que contenha os nós
x0 , ... , xn e ainda o ponto x.
Se a
função f for de classe Cn+1( V )
então temos a
seguinte fórmula para o erro de interpolação:
![]() |
Terminamos este parágrafo, com um exemplo de uma função em que a aproximação,
por interpolação polinomial, pode conduzir a maus resultados.
Com efeito, se
considerarmos a função f (x) = (1 + 25 x2 )-1, e
pensarmos em interpolá-la no intervalo [-1, 1], usando nós igualmente espaçados,
ao aumentarmos o número de nós, em vez de obtermos uma melhor aproximaão, vamos
obter uma aproximação cada vez pior, nas extremidades do intervalo!

Desenvolvido por:
© Neomatrix Software - 2002
E-mail: aytarak3@eq.uc.pt